Feature
● Streamlined System: Only 1 hybridization premix + 1 wash buffer are required, significantly reducing reagent preparation steps, minimizing operational errors, and improving automation compatibility.
● Unified Conditions: Only 2 incubation temperatures are involved, avoiding frequent temperature adjustments and making the workflow smoother and easier to scale.
● Optimized Workflow: A workflow design of 2 beads washes + 3 heated washes + 1 ethanol wash, greatly improving exper-imental efficiency while maintaining reliable performance.
● Flexible Compatibility: Supports 1-16 hr hybridization time and 1-12-plex library pooling, allowing flexible adjustment according to experimental needs to achieve optimal capture performance.
● Stable and Reproducible: A highly standardized workflow reduces dependence on operator experience, enabling different users to obtain stable and consistent capture results.
● Comprehensive Improvement: Effectively improves captured library yield, target region coverage, and coverage unifor-mity, while reducing GC bias, minimizing rework, and lowering sequencing costs.
Note:Nad-Traditional refers to NadPrep Hybrid Capture Reagents; NadPrep ES v1 and v2 refer to NadPrep ES Hybrid Capture Reagents v1 and v2, respectively.
Performance
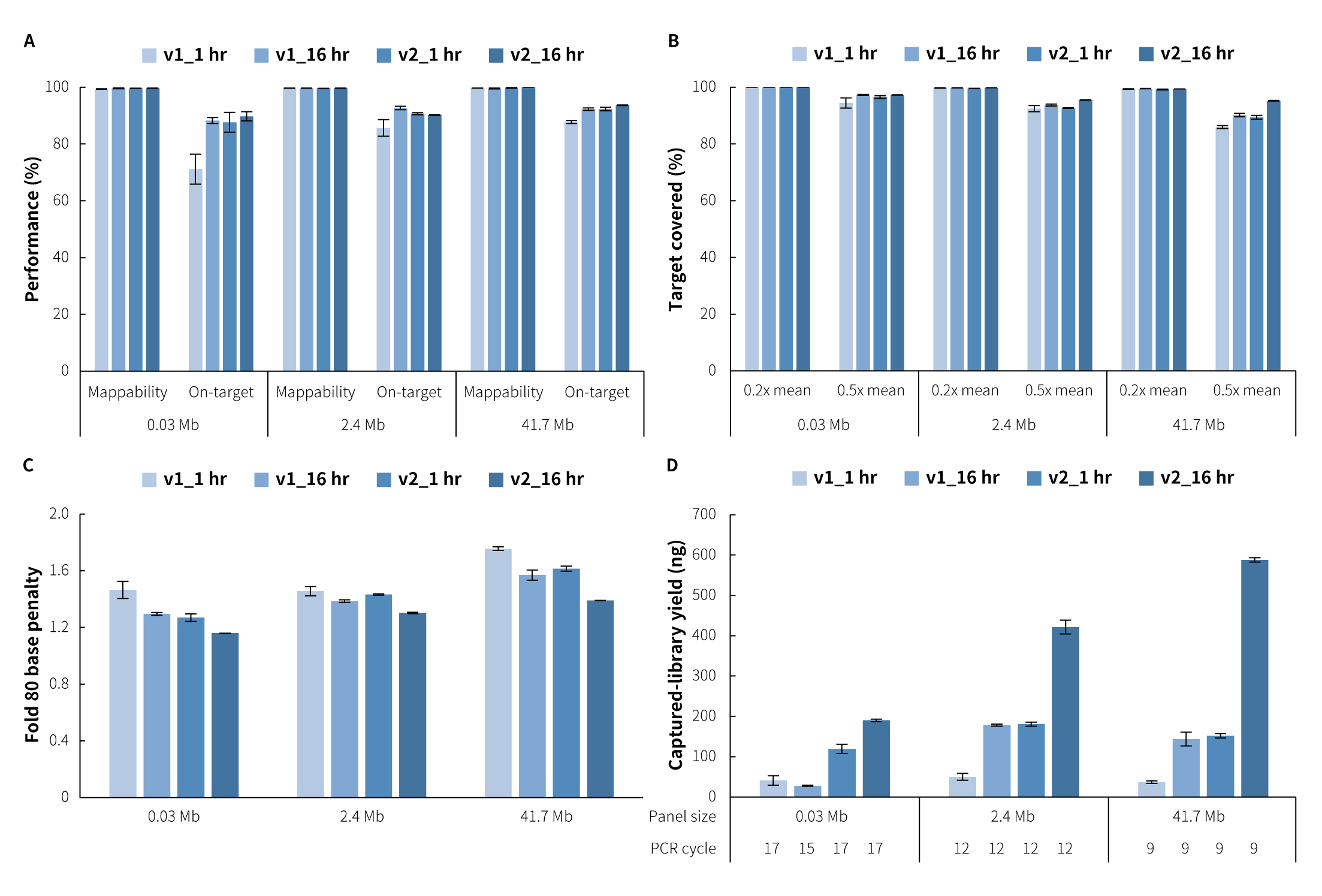
Uncompromising Multi-dimensional Capture Performance: ES v2 1_hr Rapid Hybrid vs. ES v1 16_hr Overnight Hybrid

Excellent Capture Stability Across Panels of Different Sizes
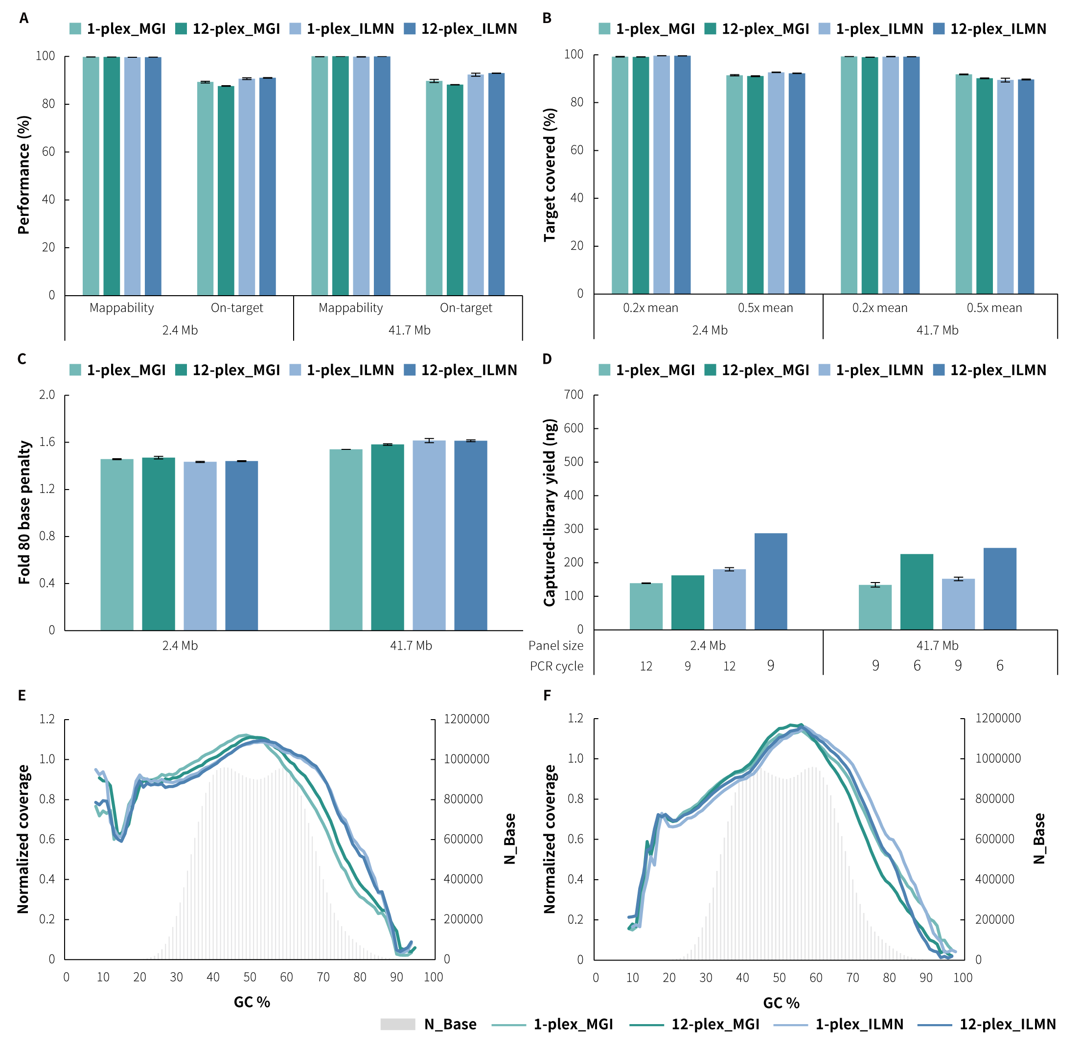
Support for Multiplex Library Hybridization Across Different Sequencing Platforms
Robust Detection of Multiple Variant Types
| Package | Color Of Tube Cap | Component |
Volume 1005422 (16 rxn) |
Volume 1005421 (96 rxn) |
| Box 1 |
|
ES Hyb Mix | 290 μL | 2×1,750 μL |
|
|
Human Cot DNA | 110 μL | 650 μL | |
|
|
Sealing Oil | 250 μL | 1,500 μL | |
| Box 2 |
or / |
Streptavidin Beads II | 950 μL | 5.7 mL |
|
/ |
ES Wash Buffer II | 7.5 mL | 3×30 mL |
For research use only. Not for use in diagnostic procedures.
NadPrep ES Hybrid Capture Reagents v2 is compatible with the bead-based concentration (BC) method. Compared with the vacuum concentration (VC) method, BC method is simpler to operate, faster, and more suitable for automated platforms (see the Appendix of the user manual for details). It should be noted that due to differences in purification recovery efficiency, the captured library yield may be slightly lower when using BC method compared with VC method.
|
Product |
Catalog |
|
NadPrep ES Hybrid Capture Reagents v2, 16 rxn |
1005422 |
|
NadPrep ES Hybrid Capture Reagents v2, 96 rxn |
1005421 |
For research use only. Not for use in diagnostic procedures.
Nanodigmbio will contact you within 1 day.
If there are any problems, please contact us by 400 8717 699 / support@njnad.com