NadPrep® ES Hybrid Capture Reagents v2 是针对纳昂达 120 nt Probes/Panels 靶向捕获全面升级优化的快速杂交洗脱试剂盒,以 NadPrep® NanoBlockers 系列和 120 nt NAD Probes/Panels 系列构成完整的液相杂交捕获体系,支持针对不同大小 Panel 通过调整杂交时间以优化捕获性能,能够在 1-16 hr 的杂交时间和 1-12 plex 的混合文库中灵活选择。
产品特色
● 体系精简:仅需 1 种杂交预混液 + 1 种洗脱 Buffer,显著减少试剂准备步骤,降低操作失误风险,自动化更友好;
● 条件统一:仅涉及 2 种孵育温度,避免频繁更换程序温度设定,使实验流程更加顺畅,并便于规模化应用;
● 步骤优化:采用 2 步磁珠清洗 + 3 步热洗脱 + 1 步乙醇洗脱的流程设计,在保证效果的同时大幅度提升实验效率;
● 灵活兼容:支持 1-16 hr 杂交时间和 1-12 plex 混合文库灵活设置,可根据实际需求进行调整,以获得更优的捕获效果;
● 稳定复现:实验流程标准化程度高,减少对操作者经验的依赖,不同实验人员均可获得稳定一致的捕获结果。
● 全面提升:有效提升捕获文库产出、靶区域覆盖度及覆盖均一性,同时降低 GC 偏好性,避免返工,从而节省测序成本。

注:Nad-Traditional 为 NadPrep® Hybrid Capture Reagents;NadPrep® ES v1 & v2 分别为 NadPrep® ES Hybrid Capture Reagents v1 & v2。
产品表现
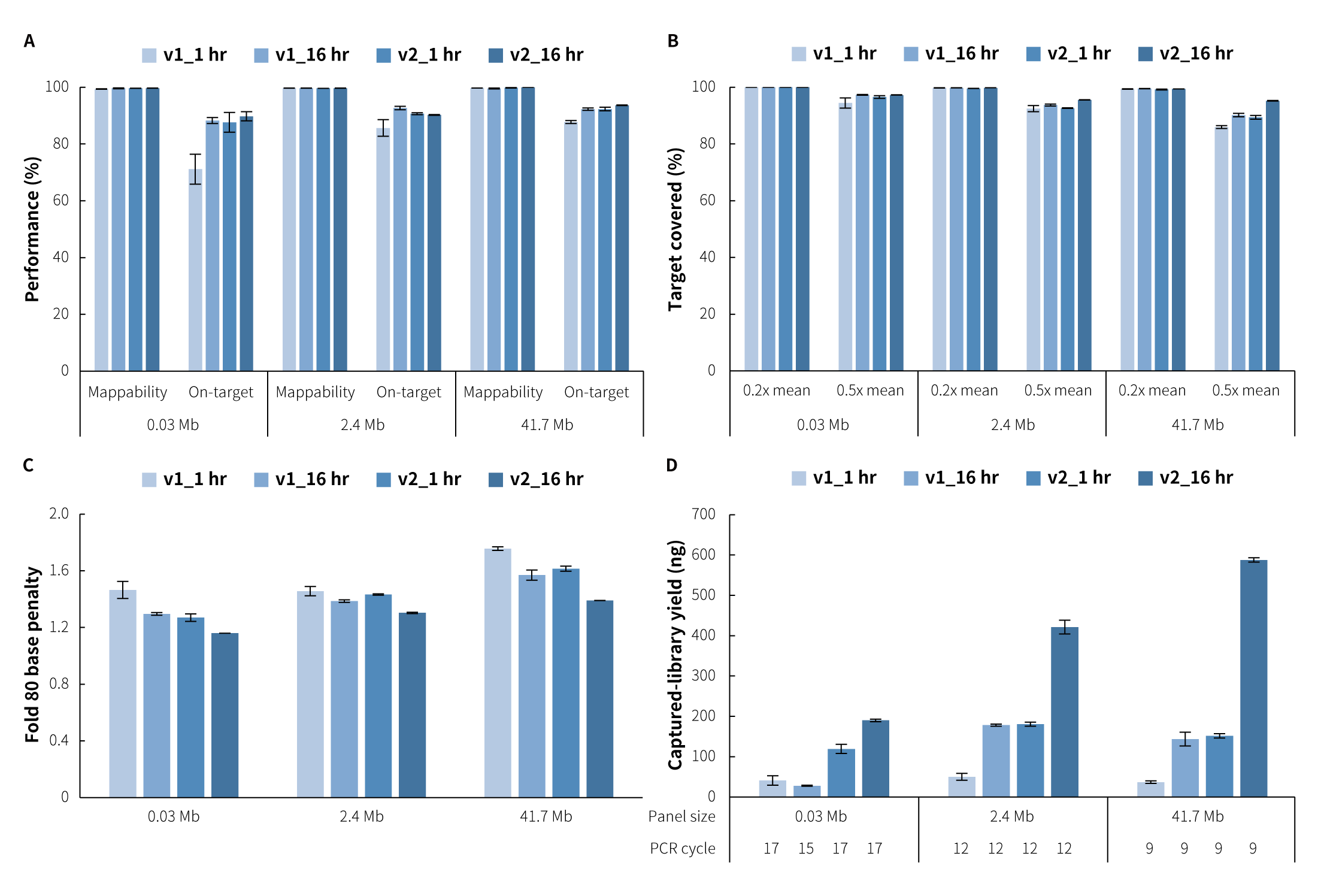
多维捕获性能不妥协:v2_1 hr 快速杂交媲美 v1_16 hr 过夜杂交

不同大小 Panel 的捕获捕获稳定性
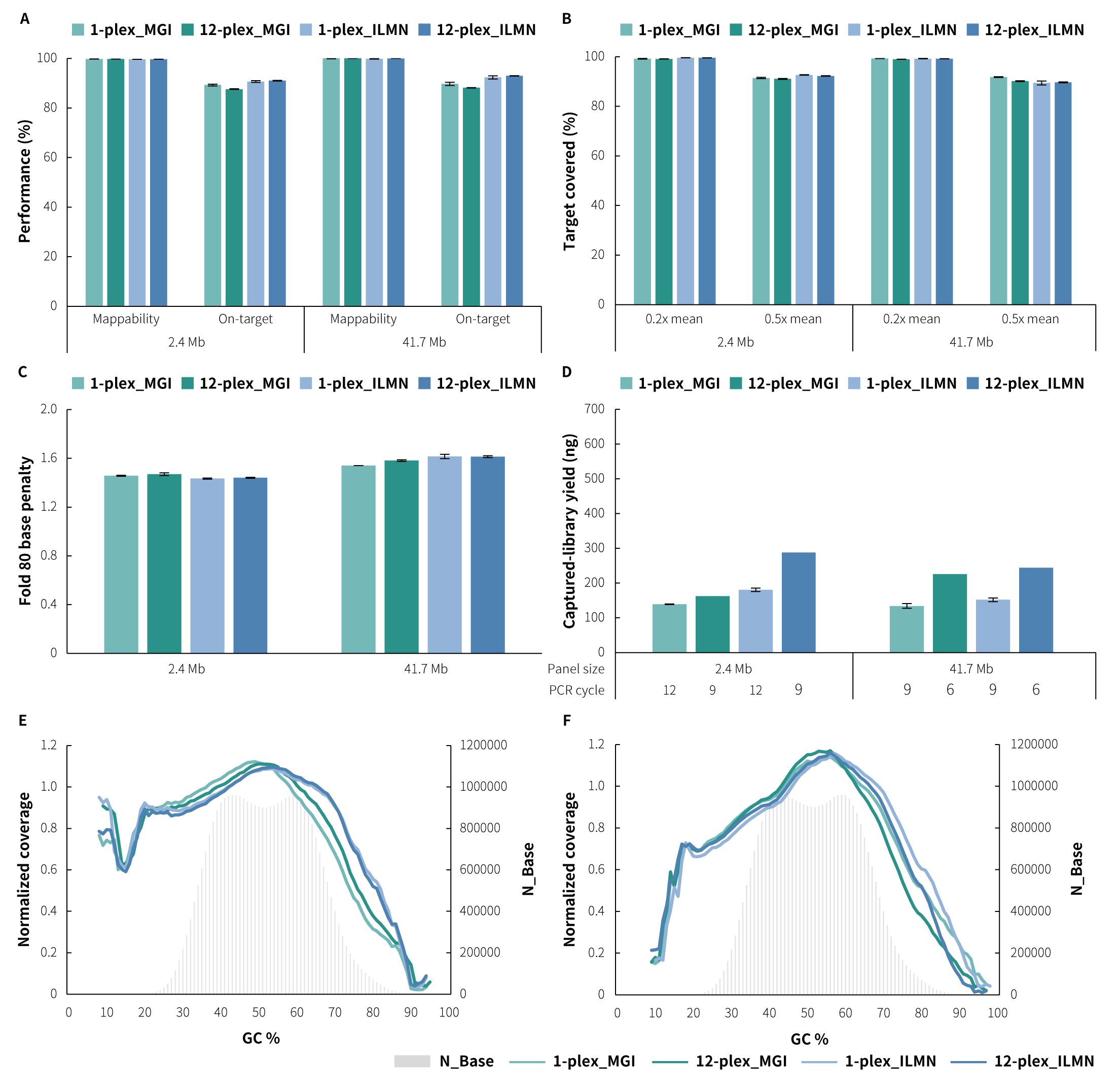
支持在不同测序平台的多文库混合杂交

稳定检出标准品中多种类型变异

图 4. NadPrep® 快速杂交捕获试剂 v2 捕获数据中变异频率与标准品标称频率的一致性展示。利用 NadPrep® 快速 DNA 酶切文库构建试剂盒 v3 进行预文库构建,500 ng/预文库投入杂交,分别以 LungCancer Panel v1.0 和 NadPrep v2 & v1 以及 Vendor A 完成捕获 (杂交 1 hr),测序模式为 NovaSeq 6000,PE150,Vardict 进行变异分析。
注:样本为泛肿瘤 800 gDNA 标准品 (菁良,GW-OGTM800),起始投入量为 50 ng。
| 包装编号 | 管/瓶盖颜色 | 名称 |
包装体积 1005422 (16 rxn) |
包装体积 1005421 (96 rxn) |
| Box 1 |
|
ES Hyb Mix | 290 μL | 2×1,750 μL |
|
|
Human Cot DNA | 110 μL | 650 μL | |
|
|
Sealing Oil | 250 μL | 1,500 μL | |
| Box 2 |
or / |
Streptavidin Beads II | 950 μL | 5.7 mL |
|
/ |
ES Wash Buffer II | 7.5 mL | 3×30 mL |
本产品仅限研究使用,不用于临床诊断。
|
产品 |
货号 |
|
NadPrep® ES Hybrid Capture Reagents v2, 16 rxn |
1005422 |
|
NadPrep® ES Hybrid Capture Reagents v2, 96 rxn |
1005421 |
本产品仅限研究使用,不用于临床诊断。
我们的工作人员将在1个工作日内与您取得联系。
如果有任何问题,欢迎联系
400 8717 699 或 support@njnad.com。