公司新闻

甲基化接头焕新升级,全面提升文库产出与有效数据利用率!

浏览量:165 / 发布时间:2025-09-20

DNA 甲基化一般指基因组 CpG 中胞嘧啶 (C) 5 号碳位的甲基化状态,主要表现为 5mC 和 5mC 氧化 (5hmC/5fC/5caC)。作为一种重要且保守的表观遗传修饰,DNA 甲基化通过调控基因表达和维持基因组稳定性,参与基因组印记、X 染色体失活、转座因子抑制、早期胚胎发育和衰老等生物学过程,并在肿瘤发生、侵袭与转移中发挥重要作用。


01 DNA 甲基化检测助力肿瘤早期筛查和诊断

异常的甲基化分布模式常在癌前病变或癌症早期出现,能够有效区分肿瘤细胞与正常细胞,因此成为多功能肿瘤生物标志物。DNA 甲基化标志物现已被广泛应用于肿瘤筛查、辅助及伴随诊断、微小残留病灶 (MRD) 监测与复发预警,以及预后评估等多重场景。自 2016 年 NMPA 批准首款结直肠癌相关甲基化检测产品上市以来,数年间已有几十种 DNA 甲基化检测产品获批应用于临床,覆盖脑胶质瘤、肺癌、结直肠癌、胃癌、宫颈癌、膀胱癌、肝癌等肿瘤的早期筛查和诊断。

因此,精确且全面地评估 DNA 甲基化模式对于揭示其生物学功能具有重要意义,特别是在诊断灵敏度较低的肿瘤诊断、监测和预后评估中更为关键。随着检测流程和质量管理的不断规范,DNA 甲基化检测有望在更多临床场景中显著提升早筛与诊断的灵敏度与可靠性。

图 1. DNA 甲基化概览。A. 典型的哺乳动物中 DNA 甲基化模式图谱[1]B. 癌症发生中的 DNA 甲基化异常概述[2]


02 双链甲基化文库制备方案

文库制备作为 DNA 甲基化测序过程中的关键环节,其质量直接影响后续的甲基化水平定量等数据分析。当前主流的 DNA 甲基化测序文库构建策略主要分为两类:“先建库后转化” (双链建库) 和“先转化后建库” (单链建库)。双链甲基化文库制备的一般流程是先对片段化 DNA 进行甲基化接头连接,再进行甲基化转化 [如亚硫酸氢盐 (BS) 和酶学 (EM) 方法],随后进行 PCR 扩增,最终获得测序文库。相较于单链建库,双链建库在测序数据分析方面具有得天独厚的优势,因而更适用于对甲基化分析结果要求更精确的应用场景。

为满足临床与科研中日益增长的高精度甲基化检测需求,纳昂达近期对双链甲基化文库制备所用的接头 (NadPrep® 甲基化截短型双端唯一标签接头) 进行了优化升级,从而在文库产出与数据利用率等关键指标上实现了显著提升。

图 2. NadPrep® 双链甲基化文库制备方案流程示意图。


03 升级亮点——文库产出与数据利用率双突破

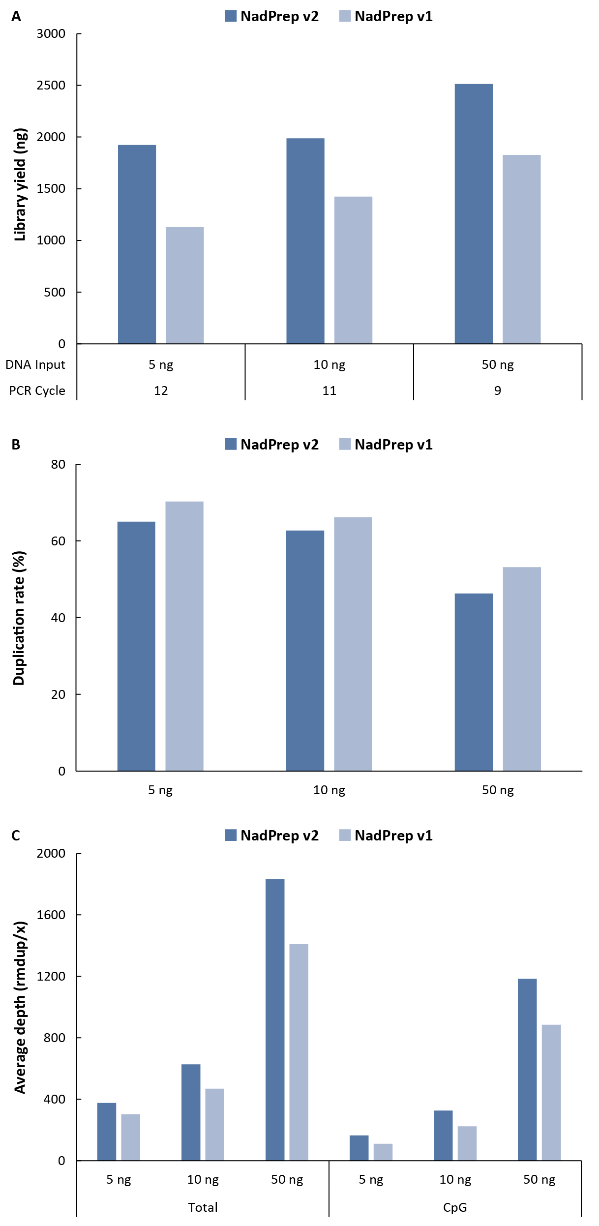
3.1 性能全面提升

我们采用了 NadPrep® Methyl Stubby Adapter (UDI) Module v2 (for Illumina®) (NadPrep v2) 和 NadPrep® Methyl Stubby Adapter (UDI) Module (with 10 nt Index) (NadPrep v1) 对不同起始量的 gDNA 样本进行甲基化文库制备。结果显示,在不同起始量条件下,NadPrep v2 无论是在文库产出、重复率还是平均覆盖深度表现上较 NadPrep v1 都有不同程度的提升,提供了更强的技术方案支持,满足高精度甲基化检测需求。

图 3. NadPrep® Methyl Stubby Adapter (UDI) Module v2 及 v1 对不同起始量 gDNA 样本的建库性能。A. 文库产量;B. 重复率;C. 去重后平均覆盖深度。不同起始量 gDNA 样本利用 NadPrep® Methyl Library Preparation Module v2 分别搭配 NadPrep v2 及 NadPrep v1 接头模块经 BS 转化后构建预文库,以 μCaler® Hybrid Capture Reagents v2 和 μCaler® EMS Panel v1.0 (约 20 Kb,2,097 个 CpG 位点) 完成杂交捕获。测序模式为 NovaSeq 6000,PE150,随机选取 1 M reads pair 进行数据分析。
注:样本为人类基因组 DNA 标准品 (Promega, G1471)。


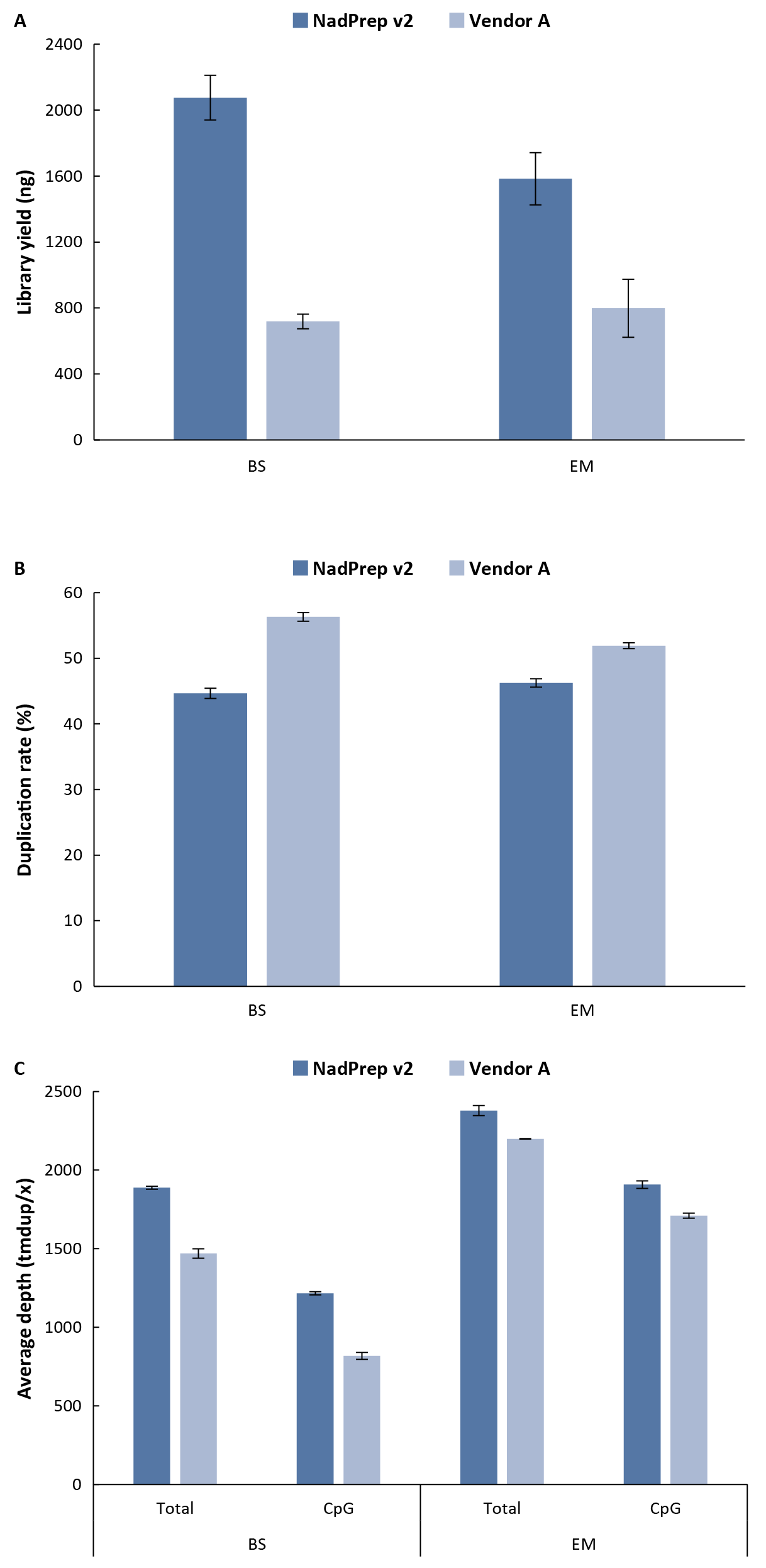
3.2 竞品比较优势

同时,我们还分别采用了 NadPrep v2 与 Vendor A 衔接 BS 和 EM 转化进行甲基化文库制备,进而对升级后的接头模块的性能进行全方位评估比较。结果显示,在不同转化方式下,NadPrep v2 无论是在文库产出、重复率还是平均覆盖深度表现上,都明显优于 Vendor A,这为多样化应用场景中的甲基化研究提供了更多的选择和可能性。

图 4. NadPrep® Methyl Stubby Adapter (UDI) Module v2 和 Vendor A 的建库性能比较。A. 文库产量;B. 重复率;C. 去重后平均覆盖深度。50 ng gDNA 样本利用 NadPrep® Methyl Library Preparation Module v2 分别搭配 NadPrep v2 及 Vendor A 接头模块经 BS 和 EM 转化后构建预文库,以 μCaler® Hybrid Capture Reagents v2 和 μCaler® EMS Panel v1.0 完成杂交捕获。


04 总结

DNA 甲基化作为重要的表观遗传修饰,在表观遗传学基础研究、肿瘤精准医疗、癌症早筛早诊、MRD 复发监测与干细胞研究等领域具有广泛应用。文库制备是 DNA 甲基化检测流程中的核心环节,其质量直接决定检测的准确性与灵敏度。纳昂达升级后的甲基化接头 NadPrep® Methyl Stubby Adapter (UDI) Module v2 (for Illumina®) 显著提升了文库产出、有效覆盖深度与数据利用率,为甲基化应用提供了可靠的技术支撑,更好地满足科学研究和临床应用对测序数据质量的高标准要求。


参考文献

[1] Gillespie C A, Chowdhury A, Quinn K A, et al. Fundamentals of DNA methylation in development[J]. Pediatric Research, 2024: 1-12.
[2] Wang J, Yang J, Li D, et al. Technologies for targeting DNA methylation modifications: basic mechanism and potential application in cancer[J]. Biochimica et Biophysica Acta (BBA)-Reviews on Cancer, 2021, 1875(1): 188454.