01 DMD 基因突变与疾病机制
人体 DMD 基因位于 X 染色体,是人类基因组中最大的基因之一,全长超过 2.2 Mb,约占人类基因组的 0.1% 或 X 染色体的 1.5%[1]。该基因序列中 99% 为内含子区域,而 79 个外显子仅占约 1%。由于超长序列长度和复杂外显子结构的影响,DMD 基因的突变发生率远高于其他单基因病相关基因。DMD 基因编码的抗肌萎缩蛋白 (dystrophin) 在维持肌肉细胞膜稳定性中发挥着关键作用,其完全或部分功能丧失可导致杜氏肌营养不良 (Duchenne muscular dystrophy, DMD) 及贝氏肌营养不良 (Becker muscular dystrophy, BMD) 等严重遗传疾病[2-3]。作为 X 染色体连锁隐性遗传性肌病,DMD 和 BMD 的发病率在存活男婴中分别为 19.8/100,000 和 5.4/100,000[4-5]。尽管大多数女性携带者表型正常,但部分携带 DMD 基因致病性变异的女性仍可能出现不同程度的骨骼肌和 (或) 心肌受累。
02 临床检测策略与共识
2024 年发布的《DMD 相关肌营养不良病的遗传咨询专家共识》指出,我国大样本研究显示,DMD 基因的外显子缺失变异占 71.85%,重复变异约占 8.76%,其他微小序列变异约占 19.39%[6]。传统的分步检测策略通常需联合多重连接依赖性探针扩增 (MLPA) 进行外显子缺失/重复检测,并辅以 Sanger 测序分析点突变,但整体流程复杂且检测周期较长。相比之下,基于二代测序 (NGS) 的高通量检测可同步覆盖所有变异类型,并具备更高的检测效率,特别适用于孕周紧张或存在非典型临床表型的病例。
03 产品简介
由纳昂达自主研发的 DMD Research Panel v1.0 通过对 DMD 全基因 2.2 Mb 区域的覆盖,实现了 DMD 变异分析的一站式解决:
• 全面富集:编码区/非编码区变异一网打尽
• 精确分析:拷贝数更准确,断点直接捕获
• 平台兼容:二代/三代捕获流程可选,复杂变异长读长解析
04 产品表现
4.1 双平台基础质控表现
经测试,DMD Research Panel v1.0 可灵活兼容 NovaSeq 及 DNBSEQ 测序仪,基础质控数据均表现良好,与预期结果保持一致。

图 1. DMD Research Panel v1.0 基础质控表现。A. 比对率 & 中靶率 & 靶区域覆盖度;B. GC 偏好性。利用 NadPrep® 快速 DNA 酶切文库构建试剂盒搭配 NadPrep® Universal Stubby Adapter (UDI) Module 进行预文库构建,以 DMD Research Panel v1.0 和 NadPrep® Hybrid Capture Reagents 完成杂交捕获。测序模式分别为 Novaseq 6000,PE150 和 DNBSEQ-T7,PE150。
注:样本为人类基因组 DNA 标准品 (Promega,G1471)。
4.2 参考品测试表现
4.2.1 捕获表现
参考品测试采用 NadPrep® 快速 DNA 酶切文库构建试剂盒搭配 NadPrep® Universal Stubby Adapter (UDI) Module 进行预文库构建,以 DMD Research Panel v1.0 和 NadPrep® Hybrid Capture Reagents 完成杂交捕获。测试结果显示,各项基础质控指标,包括比对率、中靶率 (图 2. A)、靶区域覆盖度 (图 2. B)、平均测序深度 (图 2. C) 及 GC 偏好性 (图 2. D) 均表现良好。
由于 X 染色体拷贝数差异,女性样本 HMF302 和 HMF602 的中靶率及平均测序深度略高于男性样本,但数据波动均处于正常阈值内。男性样本 HMF303 的靶区域覆盖度相较其他样本偏低,与参考品提供的 MLPA 分析结果一致。此外,对 6 个参考品样本的捕获测序共获得 0.78 Gb、1.5 Gb、0.75 Gb、0.9 Gb、1.4 Gb 和 0.79 Gb 的数据量,数据量差距与样本性别高度吻合,且平均测序深度均能达到理想水平 (图 2. C)。
图 2. DMD Research Panel v1.0 对参考品的捕获表现。A. 比对率 & 中靶率;B. 靶区域覆盖度;C. 平均测序深度 (未去重);D. GC 偏好性。测序模式为 NovaSeq 6000,PE150。
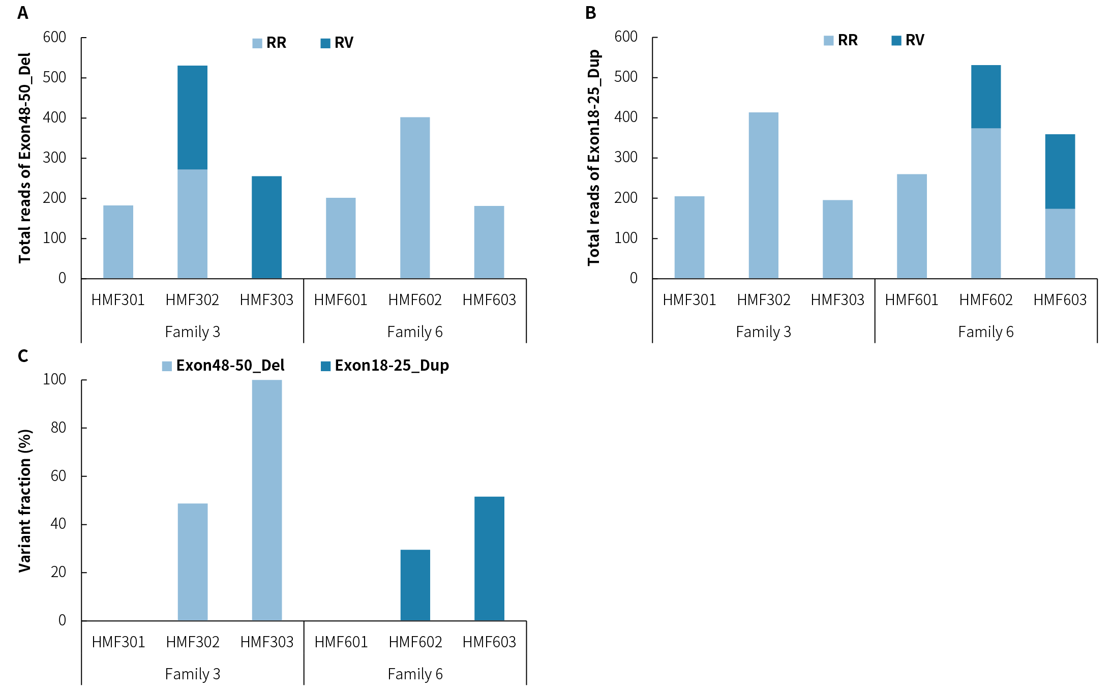
注:样本来源于杜氏肌营养不良基因检测 gDNA 参考品 (菁良),HMF301-3 对应为 GW-HMF301-3,HMF601-3 对应为 GW-HMF601-3;两个家系中 1-3 分别为 Male、Female 和 Male;HMF301-3 参考品MLPA 检验结果分别为正常、Exon48-Exon50 杂合缺失、Exon48-Exon50 缺失/半合子,HMF601-3 参考品 MLPA 检验结果分别为正常、Exon18-Exon25 单倍重复和 Exon18-Exon25 重复。
4.2.2 CNV 断点精准检出
利用 BWA 将 6 个参考品的靶向捕获测序数据比对到参考基因组 hg38,并使用 Delly 进行变异分析,统计支持 reads 数。分析结果表明,各样本的突变频率 (图 3. C) 与 MPLA 参考结果保持一致。
在 Exon 48-50 区域的 Reads 统计结果 (图 3. A) 中,各样本 Reads 总数与样本性别相符,其中 HMF302 和 HMF303 的突变 Reads (RV) 检出情况与参考结果保持一致,其余样本中均未检到突变 Reads,显示为正常 (RR)。此外,在 Exon 18-25 区域的 Reads 统计结果 (图 3. B) 中,突变 Reads 与正常 Reads 比例亦与参考结果保持一致,进一步证实了测序分析结果的可靠性。

图 3. DMD Research Panel v1.0 对参考品中 CNV 断点的检出情况。A. Exon48-50_Del reads 数分析;B. Exon18-25_Dup reads 数分析;C. 变异频率。
注:RR: reference junction reads;RV: variant junction reads;Exon48-50_Del: Exon48-Exon50 缺失,Exon18-25_Dup: Exon18-Exon25 重复。
4.2.3 DMD 基因组覆盖情况
分别对 3 例参考品样本 (GW-HMF301-3) 的捕获文库进行二代和三代测序,结果如图 4. 所示。从 IGV 可视化图中可以看出,GW-HMF302 和 GW-HMF303 中的缺失片段均被有效检出,且与参考结果保持一致。此外,二代测序在某些区域存在 Gap,而三代测序可实现有效覆盖,进一步提升了检测的完整性和准确性。

图 4. 杜氏肌营养不良基因检测 gDNA 参考品以 DMD Research Panel v1.0 靶向捕获后经二代和三代测序得到的基因组覆盖情况。
注:二代测序为 NovaSeq 6000,PE150;三代测序为 Oxford Nanopore。
05 应用展望
DMD Research Panel v1.0 基于 NGS 靶向测序技术,凭借高通量、高灵敏度及成本可控等优势,可高效筛查 DMD 基因相关 79 个外显子的缺失/重复及点突变,为临床精准诊断提供有力支持。该技术适用于新生儿筛查、疑似患者确诊及携带者检测,助力早期干预和个性化治疗决策。同时,结合遗传咨询,可帮助家庭优化生育规划,并为药企研发靶向疗法提供关键数据支撑,推动 DMD 相关疾病诊疗研究的生态闭环。
参考文献
[1]
Muntoni F, Torelli S, Ferlini A. Dystrophin and mutations: one gene, several proteins,
multiple phenotypes[J]. The Lancet Neurology, 2003, 2(12): 731-740.
[2]
Tuffery-Giraud S, Miro J, Koenig M, et al. Normal and altered pre-mRNA processing
in the DMD gene[J]. Human genetics, 2017, 136: 1155-1172.
[3]
Kunkel L M, co-authors. Analysis of deletions in DNA from patients with Becker and
Duchenne muscular dystrophy[J]. Nature, 1986, 322(6074): 73-77.
[4]
Crisafulli S, Sultana J, Fontana A, et al. Global epidemiology of Duchenne muscular
dystrophy: an updated systematic review and meta-analysis[J]. Orphanet journal of
rare diseases, 2020, 15: 1-20.
[5] Bushby K M D, Thambyayah M, Gardner-Medwin D. Prevalence and incidence of Becker muscular dystrophy[J]. The Lancet, 1991, 337(8748): 1022-1024.
[6] Genetic Counseling Consensus Expert Group for Monogenic
Disease Carrier Screening, Genetic Counseling Group, Medical Genetics Branch,
Chinese Medical Association, Medical Genetics Branch, Chinese Medical Doctor
Association, et al. Expert consensus on the genetic counseling for
Dystrophinopathies[J]. Chinese Journal of Medical Genetics, 2024, 41(06):
651-660.