公司新闻

甲基化与突变超灵敏共检测技术究竟扛不扛打?临床样本来说话!

浏览量:3894 / 发布时间:2024-09-24

前不久,纳昂达推出了超高灵敏度的甲基化与突变共检全流程解决方案:μCaler® DNA Full Screen System,并通过两篇文章详细阐述了该方案的技术原理和独特优势。

推荐阅读

新品发布banner-1:1_画板 1新品发布banner-1:1_画板 1 

 

在临床应用中,甲基化与突变检测一直以来都存在诸多痛点,比如:

• 极其有限的样本量:健康人 10 mL 的血液仅可分离出约 24 ng cfDNA,如何利用珍贵的 cfDNA 同时完成两种标志物的检测,既是对方法学的极大考验,也是提升灵敏度的关键。

• 岌岌可危的原始信息:作为 DNA 甲基化检测的“金标准”,BS 转化高温、强碱的反应条件常常导致 DNA 断裂和损伤,转化后能够保留的原始信息非常有限。

• 耗时费力的操作流程:传统的甲基化与突变检测需分开进行,操作繁复,耗时耗力。

那么,μCaler® DNA Full Screen System 在临床样本中的应用表现如何呢?

 

应用示例

所有样本均来源于结直肠癌患者,实验条件如下:

传统甲基化检测:利用 NadPrep® DNA 甲基化亚硫酸氢盐转化模块进行 BS 转化后建库,以甲基化 Demo Panel (60 Kb) 经传统过夜杂交捕获后测序。

传统突变检测:常规建库后,以 NanOnco Panel 经传统过夜杂交捕获后测序。

Full Screen 系统甲基化与突变共检测:按照使用说明书进行操作。针对结直肠癌的甲基化与突变共检测单独设计捕获 Panel (12 Kb)。其中,甲基化位点从甲基化 Demo Panel 覆盖的位点中选择,突变位点为结直肠癌患者中高频突变位点。

 

情景一:BS 转化反应剧烈,常常导致样本建库信息不全,稳定性差。

测试结果:

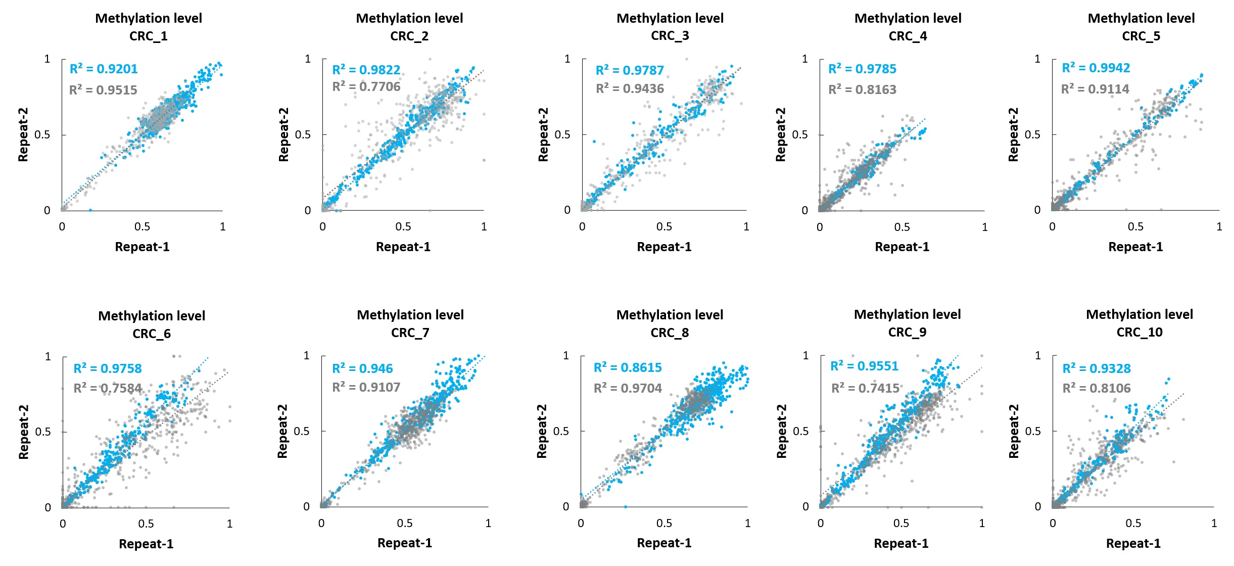
fig1-横向滑动

1. 10 例结直肠癌患者的组织样本在不同检测技术下的甲基化水平相关性分析。

如图 1. 所示,实验使用了 10 例结直肠癌患者的 FFPE 组织样本,每个样本提取 20 ng DNA,分别采用 μCaler® DNA Full Screen System (蓝色,简称 Full Screen ) 和传统甲基化测序方案 (灰色,简称 BS ) 进行甲基化水平检测。结果显示,Full Screen 组的相关性分析 R² 值范围为 0.8615 ~ 0.9942,而 BS 组的 R² 值范围为 0.7415 ~ 0.9704。这表明,在同一样本中,Full Screen 组在对同一位点的甲基化水平重复检测时具有更高的稳定性。

小结:

传统的 BS 处理在转化的过程中容易导致 DNA 片段的损伤和降解,进而影响甲基化检测结果的稳定性,因此在低起始量样本的应用场景中存在一定限制。然而,Full Screen 基于 MSRE 原理,无需进行序列转化,理论上能够保留更多的甲基化位点信息,提升甲基化检测结果的可重复性和稳定性。

 

情景二:一些临床样本中既有甲基化又存在突变,传统方法需要分别检测,共进行 2 次预文库构建和 2 轮杂交,操作非常繁琐,也很费时间。μCaler® DNA Full Screen System 只需操作一轮,对甲基化和突变都能准确检出吗?准确率如何?

测试结果:

A-level-0924A

B-depth-0924A

2. 11 例结直肠癌患者组织样本中各 CpG 位点的甲基化程度和深度。A. CpG 位点甲基化水平;B. 甲基化 CpG 位点覆盖深度。

在另一项测试中,11 例结直肠癌患者的组织样本分别通过 Full Screen BS 法检测每个 CpG 位点的甲基化水平。结果表明,肿瘤样本与对照样本之间存在显著差异,两种方法均能够有效区分肿瘤样本和正常样本 ( 2. A)。此外,对甲基化修饰的 CpG 位点的覆盖深度进行分析时发现,肿瘤样本 Full Screen 组发生甲基化修饰的 CpG 位点检测平均深度可达到 252.7x,而 BS 组的平均深度仅能达到 10.8x ( 2. B)

fig3

3. Full Screen 与传统突变检测的结果相一致。

在这 11 例结直肠癌患者中,传统突变检测 (简称 Classical ) 发现 7 例样本同时存在突变。针对这些已知的突变位点,Full Screen 组的共检结果与传统突变检测结果高度一致 ( 3.)

小结:

面对情况复杂的肿瘤样本,Full Screen 方案不仅能够实现甲基化和突变的联合检测,还显著提高了 CpG 位点的覆盖深度,保留了更多原始序列信息,显示了其在临床应用中的独特优势。

 

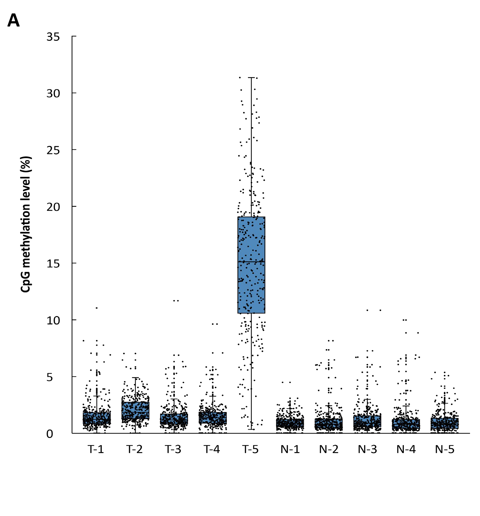
情景三:我想看看这套系统在早筛上的应用潜力,是否可区分不同癌症分期 cfDNA 的甲基化程度?

测试结果:

fig4A

fig4B

4. A. CpG 位点甲基化水平;B. Z -score 3 统计结果。

5 例不同分期的结直肠癌患者 (T1-T5) 5 例健康人群 (N1-N5) 的血浆提取 cfDNA 后,使用 2-10 ng 起始投入量,采用 Full Screen 检测甲基化水平,结果如图 4. 所示。结果显示,通过对检测的甲基化水平进行深入分析,Full Screen 能够明确区分早期癌症患者 (T1-T4)、晚期癌症患者 (T5) 及健康人群。

小结:

μCaler® DNA Full Screen System 依托其超高的灵敏度,可成功识别出不同癌症分期的甲基化信号,展现了其有作为癌症筛查与早期诊断工具的巨大潜力。通过更早地发现甲基化与突变信号的变化并采取干预措施,该技术有望助力提高癌症治疗的成功率,并改善患者的预后效果。

 

情景四:传统杂交捕获测序法单操作时间超过 40 hr,且价格昂贵,如何降低成本?

传统杂交捕获测序法需分别对甲基化和突变双标志物进行检测,使用 2 份起始样本和 2 套捕获探针进行 2 次杂交反应,整个上机测序前的流程总耗时长达 46 hr 以上,时间成本极高。而 Full Screen 通过结合 MSRE 和基于纳昂达独家专利的 μCaler® 超灵敏度探针捕获技术的双重优势,极大地简化了操作流程,仅需 1 份起始样本 + 1 个杂交反应 + 1 套捕获探针即可实现超高灵敏度甲基化与全景式突变共检,加快了检测速度,整体流程可在 8 hr 内完成,同时能够实现超高灵敏度的甲基化与突变全景式联合检测,为肿瘤的早筛早诊、精准治疗和预后评估提供了更有力的技术支持。

fig5

5. 不同甲基化与突变双标志物检测的技术流程及耗时比较。