NadPrep DNA Methyl Bisulfite Conversion Module is a methylation conversion reagent developed for DNA samples based on the principle of bisulfite conversion. The conversion module, based on a magnetic bead purification protocol, efficiently conv- erts unmethylated cytosine to uracil within 2 hr, leaving methylated cytosine unchanged, and it can be compatible with autom- ated workstations. It can be seamlessly integrated with Nanodigmbio's NadPrep double-strand methylation library preparation scheme and NadPrep single-strand methylation library preparation scheme, allowing flexible selection among various types of starting samples.

*The above schematic diagram of adapter-ligated product is taking NadPrep Methyl Stubby Adapter (UDI) as an example.
Feature
Library yield and conversion efficiency

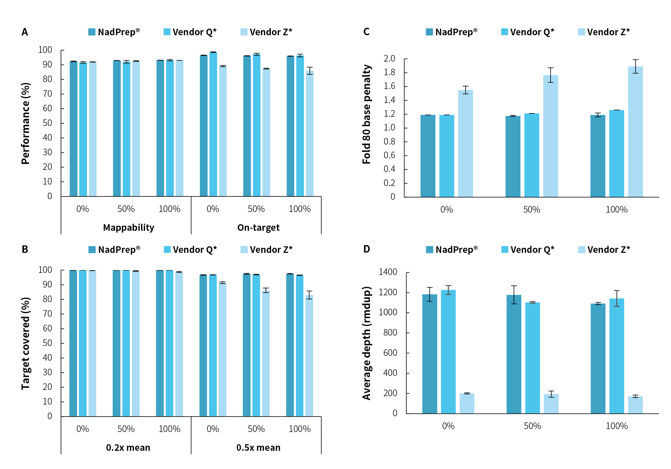
Capture Performance

Methylation detection

Fig 3. Targeted sequencing performance of samples with different methylation levels. A. Comparison between theoretical methylation levels and detected methylation levels; B. CpG methylation levels in target regions.
| Package | Color of Cap Tube | Component |
Volume
1002701 (24 rxn) |
Volume
1002702 (96 rxn) |
| Box 1 |
/ |
Bisulfite Diluent | 4.5 mL | 9 mL |
|
|
Bisulfite Mix | 4×1 tube | 8×1 tube | |
|
|
Desulf Buffer | 1.8 mL | 7.5 mL | |
| Box 2 |
/ |
Nuclease Free Water | 2.5 mL | 8 mL |
|
/ |
Bisulfite Beads | 4.8 mL | 3×6.2 mL | |
|
|
DNA Protect Buffer | 100 μL | 380 μL |
| Type | Product | Scale | Catalog |
| BS Conversion Module |
NadPrep DNA Methyl Bisulfite Conversion Module, 24 rxn |
24 rxn | 1002701 |
| NadPrep DNA Methyl Bisulfite Conversion Module, 96 rxn | 96 rxn | 1002702 |
Nanodigmbio will contact you within 1 day.
If there are any problems, please contact us by 400 8717 699 / support@njnad.com